jordi roig cutillas

21 septiembre, 2017
valor estadistico p

Investigadores de prestigio proponen cambiar el valor estadístico p

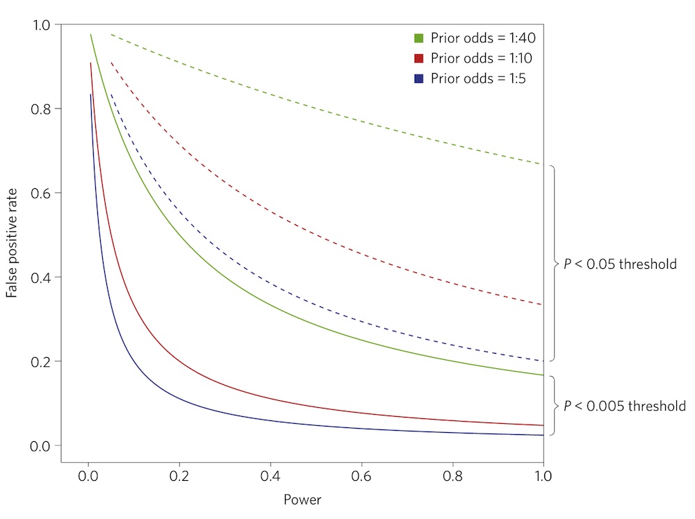
Un equipo de investigadores propone cambiar el valor p inferior a 0,05 como estadísticamente significativo por un nuevo valor de p inferior a 0,005 en el ámbito de las ciencias sociales y biomédicas. La ciencia está atravesando una crisis de reproducibilidad, y los investigadores, los financiadores y los editores están cada vez más preocupados de que la literatura académica esté llena de resultados poco fiables. Ahora, un grupo de 72 investigadores prominentes están apuntando como la causa del problema los débiles estándares estadísticos de los nuevos descubrimientos. En muchas disciplinas, la importancia de los hallazgos se juzga por los valores […]
23 agosto, 2017
tabaco nicotina

Estados Unidos quiere reducir la nicotina de los cigarrillos

Por primera vez, el Gobierno de Estados Unidos propone reducir el nivel de nicotina de los cigarrillos para que no sean tan adictivos. Recientemente el director de la Administración de Alimentos y Medicamentos de Estados Unidos (FDA, por sus siglas en inglés), Scott Gottlieb, mandó al personal de la agencia desarrollar nuevas regulaciones sobre la nicotina. La FDA ha tenido el poder desde 2009 de regular los niveles de nicotina, pero no lo ha hecho. Las existencias de fabricantes de cigarrillos se desplomaron después del anuncio. “Un renovado enfoque en la nicotina puede ayudarnos a lograr un mundo donde los […]